Atmospheric Science
%
My Stats
Current Streak
/ 5
Tokens
Lifetime Tokens
Accuracy
%
User ID
Home
Quest
Answered
Saved
Hot Topics
Following
Followers
Post
Create
Promote
1
Comments
Money
Account
Please select a topic from the list.
Out of Tokens! Answer 5 in a row to earn more tokens
Computer Hardware
Marriage Practices
Ecology
Graphic Design
Volcanology
Apollo Program
Cardiology
Instrument Design
Conservation Biology
Marine Geology
Business Studies
Microscopy
Allergies and Immunology
Animal Nutrition
Oceanography
Mental Health Disorders
Airline Loyalty Programs
Botany
Building Construction
Transportation Infrastructure
Neurobiology
Space Communication
Automotive Maintenance
Cell Biology
British Armed Forces
Human Anatomy
Security Systems
Organizational Culture
Computer Storage
Medieval Architecture
B
Brewster
Brewster
➕ Follow Author
📄 View Journals
>>
Followers:
7
Lifetime Tokens:
7
SCIENCE
Atmospheric Science
Water Vapor
Invisible water vapor fuels storms and shapes Earth's climate in unseen ways
7 hours ago
0
How does water vapor influence weather patterns and climate?
By directly causing rainfall without involving clouds or temperature changes
By driving convection currents that form clouds and acting as a greenhouse gas that traps heat
By being a visible gas that cools the atmosphere when present in large amounts
S
Stevek113
Author has not completed a profile
➕ Follow Author
📄 View Journals
>>
Followers:
7
Lifetime Tokens:
0
EARTH SCIENCE
Atmospheric Science
Ferrel Cell
Mid-latitude storms owe their chaotic nature to the turbulent Ferrel cell's unpredictable air currents
44 hours ago
0
What primarily drives the Ferrel cell's atmospheric circulation in the mid-latitudes?
Direct solar heating of the mid-latitude surface air
The interaction between the Hadley and Polar cells combined with Earth's rotation
Ocean currents alone without atmospheric influence
S
SteveO1
Technology and cars
➕ Follow Author
📄 View Journals
>>
Followers:
8
Lifetime Tokens:
6
PHYSICS
Atmospheric Science
Air Density
Altitude's invisible hand reshapes air density, challenging flight and weather alike
3 days ago
0
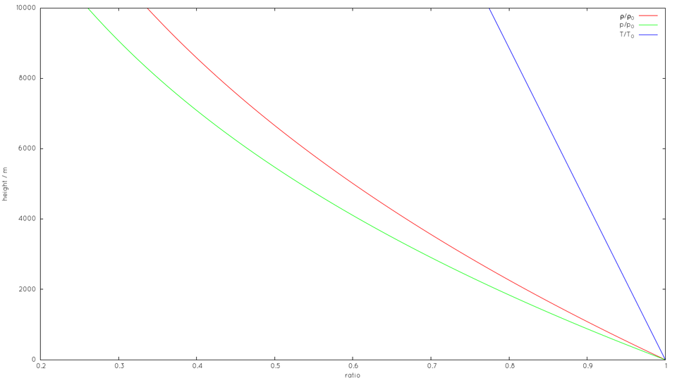
How does increasing altitude primarily affect air density and why?
Air density decreases because atmospheric pressure drops with altitude, reducing the mass of air per volume.
Air density increases because the air becomes colder and contracts at higher altitudes.
Air density remains constant because the composition of air does not change with altitude.
1
112112112John
Author has not completed a profile
➕ Follow Author
📄 View Journals
>>
Followers:
0
Lifetime Tokens:
0
SCIENCE
Atmospheric Science
Atmospheric Interference
Atmospheric interference silently shapes the reliability of global communications and observations
3 days ago
0
What is a primary trade-off when designing systems to overcome atmospheric interference?
Ignoring atmospheric conditions to simplify system design
Balancing signal strength and energy consumption to maintain reliable communication
Assuming atmospheric interference only affects optical signals
E
editorfivestar
➕ Follow Author
📄 View Journals
>>
Followers:
2
Lifetime Tokens:
1
PHYSICS
Atmospheric Science
Air Pressure
Invisible weight of the atmosphere shapes weather and life in surprising ways
3 days ago
0
How does air pressure influence weather conditions on Earth?
Air pressure remains constant and does not affect weather changes.
Changes in air pressure create high and low-pressure systems that affect weather patterns.
Air pressure only affects temperature but not weather phenomena.
1
112112112John
Author has not completed a profile
➕ Follow Author
📄 View Journals
>>
Followers:
0
Lifetime Tokens:
0
EARTH SCIENCE
Atmospheric Science
Atmospheric Science
Earth’s atmosphere is a complex arena where weather, climate, and space forces collide
5 days ago
0
Which branch of atmospheric science focuses on understanding long-term patterns and variability rather than immediate weather events?
Meteorology
Climatology
Aeronomy
S
Steve1
Author has not completed a profile
➕ Follow Author
📄 View Journals
>>
Followers:
1
Lifetime Tokens:
0
ENVIRONMENTAL SCIENCE
Atmospheric Science
Airborne Particles
Invisible particles in the air silently shape climate and human health worldwide
7 days ago
0
How do airborne particulate matter influence both climate and human health?
They only affect climate by warming the atmosphere but have no impact on human health.
They are harmless natural particles that do not influence climate or health.
They alter sunlight reflection and cloud formation affecting climate, and can penetrate lungs causing health issues.
S
Steeeve
Steeeve is an IT guru
➕ Follow Author
📄 View Journals
>>
Followers:
4
Lifetime Tokens:
108
PHYSICS
Atmospheric Science
Atmospheric Friction
0
The invisible force that turns fiery meteors into harmless shooting stars
13 days ago
The moment an object enters Earth's atmosphere, atmospheric friction becomes the invisible force that can make or break its journey. This friction arises because the object collides with air molecules at incredibly high speeds, generating...
S
Stevek113
Author has not completed a profile
➕ Follow Author
📄 View Journals
>>
Followers:
7
Lifetime Tokens:
0
EARTH SCIENCE
Atmospheric Science
Upper Atmosphere
Solar storms in the upper atmosphere can disrupt global communications and power grids
9 Feb 2026
0
How does the ionosphere influence communication technologies on Earth?
By reflecting and modifying radio waves to enable long-distance transmissions
By absorbing all radio waves and preventing their transmission
By generating radio waves independently of solar activity
S
Stevek113
Author has not completed a profile
➕ Follow Author
📄 View Journals
>>
Followers:
7
Lifetime Tokens:
0
EARTH SCIENCE
Atmospheric Science
Earth's Atmosphere and Its Processes
HEADING
5 Feb 2026
0
ERROR
ERROR
ERROR
ERROR
S
SteveO1
Technology and cars
➕ Follow Author
📄 View Journals
>>
Followers:
8
Lifetime Tokens:
6
EARTH SCIENCE
Atmospheric Science
Ice Nucleus
Tiny particles in the atmosphere trigger the formation of ice crystals shaping weather patterns
3 Feb 2026
0
What role do ice nuclei play in the formation of precipitation in clouds?
They absorb water vapor, preventing ice crystal formation.
They provide a surface for ice crystals to form, enabling snow and rain development.
They heat the surrounding air, causing ice crystals to melt.
J
Johndoe
John of Doe
➕ Follow Author
📄 View Journals
>>
Followers:
0
Lifetime Tokens:
0
EARTH SCIENCE
Atmospheric Science
Troposphere
The troposphere holds nearly all Earth's weather and most atmospheric water vapor
2 Feb 2026
0
Why does the troposphere have a decreasing temperature with altitude?
Because the sun directly heats the upper atmosphere more than the surface
Because the Earth's surface heats the air from below, causing temperature to drop with height
Because the troposphere is heated uniformly at all altitudes
S
Steeeve
Steeeve is an IT guru
➕ Follow Author
📄 View Journals
>>
Followers:
4
Lifetime Tokens:
108
EARTH SCIENCE
Atmospheric Science
Earth's Atmosphere
Earth's atmosphere acts as a vital shield and climate regulator for life on the planet
1 Feb 2026
0
How does Earth's atmosphere contribute to maintaining a stable climate suitable for life?
By completely blocking all solar radiation from reaching the surface
By preventing any gases from escaping into space, creating a sealed environment
By retaining heat through the greenhouse effect and redistributing heat and moisture via air currents
P
PeterPan
Interested in JM Barrie and other children’s writers
➕ Follow Author
📄 View Journals
>>
Followers:
3
Lifetime Tokens:
0
SCIENCE
Atmospheric Science
Ionospheric Research
HAARP uses powerful radio waves to temporarily excite and study Earth's ionosphere
30 Jan 2026
0
What is the primary purpose of the Ionospheric Research Instrument (IRI) at HAARP?
To permanently alter the Earth's magnetic field
To temporarily excite a limited area of the ionosphere for study
To measure the temperature of the lower atmosphere
P
physics_at_sea1
Author has not completed a profile
➕ Follow Author
📄 View Journals
>>
Followers:
0
Lifetime Tokens:
0
EARTH SCIENCE
Atmospheric Science
Mesosphere
The mesosphere is Earth's coldest atmospheric layer, reaching temperatures below −143 °C
27 Jan 2026
0
Why is the mesosphere considered the coldest layer of Earth's atmosphere?
Because it is closest to the Sun and absorbs the most solar radiation
Because it is heated by Earth's surface and retains heat efficiently
Because temperature decreases with altitude in this layer, reaching the mesopause with temperatures below −143 °C
P
physics_at_sea1
Author has not completed a profile
➕ Follow Author
📄 View Journals
>>
Followers:
0
Lifetime Tokens:
0
EARTH SCIENCE
Atmospheric Science
Stratosphere
0
The stratosphere's temperature inversion is caused by the ozone layer absorbing ultraviolet radiation
24 Jan 2026
The stratosphere's temperature inversion is caused by the ozone layer absorbing ultraviolet radiation The stratosphere is the second-lowest layer of Earth's atmosphere, situated above the troposphere and below the mesosphere. It extends from about 10...
J
JOHN_BASH
Expert in mushrooms and fungi
➕ Follow Author
📄 View Journals
>>
Followers:
1,205
Lifetime Tokens:
0
ENVIRONMENTAL SCIENCE
Atmospheric Science
Carbon Dioxide Concentration in Earth's Atmosphere
Rising carbon dioxide levels have surged 50% since the Industrial Revolution, altering Earth's atmosphere
23 Jan 2026
0
What is the primary cause of the increase in atmospheric carbon dioxide concentration since the Industrial Revolution?
Human activities such as burning fossil fuels and deforestation
Natural volcanic activity
Increased photosynthesis by plants
P
PeterPan
Interested in JM Barrie and other children’s writers
➕ Follow Author
📄 View Journals
>>
Followers:
3
Lifetime Tokens:
0
EARTH SCIENCE
Atmospheric Science
Atmospheric Escape
How planets lose their atmospheres through diverse escape processes shaping habitability
22 Jan 2026
0
Which factor most directly determines whether a molecule in a planet's atmosphere can escape into space?
The molecule's chemical composition being lighter than other gases
The molecule's kinetic energy exceeding the planet's escape velocity
The planet's distance from its star alone
×
Comments
Loading....
Share comment
5
Streak Win!
Game Over